Đề thi, đáp án chuyên Toán vào lớp 10 chuyên Hùng Vương, Phú Thọ năm 2023

Đề thi chuyên Toán vào lớp 10 chuyên Hùng Vương, Phú Thọ năm 2023, đáp án chuyên Toán vào lớp 10 chuyên Hùng Vương, Phú Thọ năm 2023 được cập nhật phục vụ các phụ huynh và thí sinh.
Tử vi 12 con giáp ngày 7/6/2023: Tuổi Tuất bất ổn Giải đề Toán vào lớp 10 Trường THPT chuyên Đại học Sư Phạm Hà Nội

Trong kỳ thi tuyển sinh vào lớp 10 THPT năm 2023, Sở GD&ĐT Phú Thọ đã thành lập 35 điểm thi với 649 phòng thi. Trường có tổng số thí sinh đăng ký nhiều nhất là THPT chuyên Hùng Vương với hơn 1.200 hồ sơ. Tiếp đến là các trường: THPT Kỹ thuật Việt Trì với 619 hồ sơ, THPT Long Châu Sa với 580 hồ sơ, THPT Hùng Vương với 578 hồ sơ…

Đề thi chuyên Toán vào lớp 10 chuyên Hùng Vương

Đề thi, đáp án chuyên Toán vào lớp 10 chuyên Hùng Vương, Phú Thọ năm 2023
Đề thi, đáp án chuyên Toán vào lớp 10 chuyên Hùng Vương, Phú Thọ năm 2023

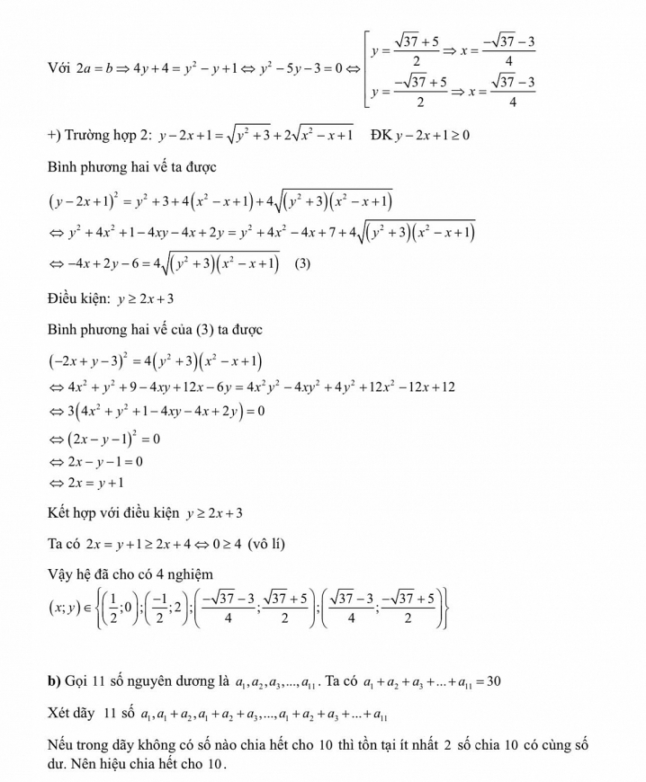
Đáp án thi chuyên Toán vào lớp 10 chuyên Hùng Vương

Đề thi, đáp án chuyên Toán vào lớp 10 chuyên Hùng Vương, Phú Thọ năm 2023
Đề thi, đáp án chuyên Toán vào lớp 10 chuyên Hùng Vương, Phú Thọ năm 2023 (ảnh báo Phú Thọ)
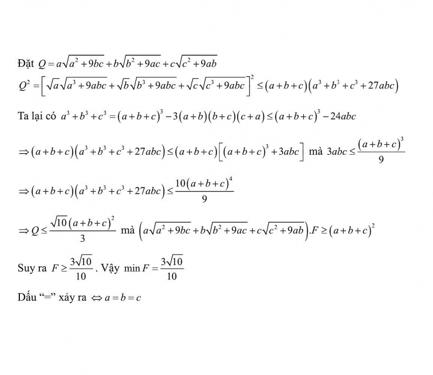
Đề thi, đáp án chuyên Toán vào lớp 10 chuyên Hùng Vương, Phú Thọ năm 2023
Đề thi, đáp án chuyên Toán vào lớp 10 chuyên Hùng Vương, Phú Thọ năm 2023 (ảnh báo Phú Thọ)
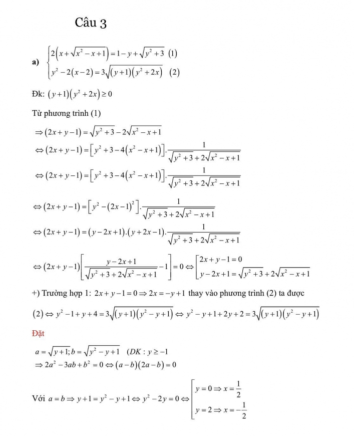
Đề thi, đáp án chuyên Toán vào lớp 10 chuyên Hùng Vương, Phú Thọ năm 2023
Đề thi, đáp án chuyên Toán vào lớp 10 chuyên Hùng Vương, Phú Thọ năm 2023 (ảnh báo Phú Thọ)
Đề thi, đáp án chuyên Toán vào lớp 10 chuyên Hùng Vương, Phú Thọ năm 2023
Đề thi, đáp án chuyên Toán vào lớp 10 chuyên Hùng Vương, Phú Thọ năm 2023 (ảnh báo Phú Thọ)
Đề thi, đáp án chuyên Toán vào lớp 10 chuyên Hùng Vương, Phú Thọ năm 2023
Đề thi, đáp án chuyên Toán vào lớp 10 chuyên Hùng Vương, Phú Thọ năm 2023 (ảnh báo Phú Thọ)
Đề thi, đáp án chuyên Toán vào lớp 10 chuyên Hùng Vương, Phú Thọ năm 2023
Đề thi, đáp án chuyên Toán vào lớp 10 chuyên Hùng Vương, Phú Thọ năm 2023 (ảnh báo Phú Thọ)

Ngày mới Online cập nhật thông tin tuyển sinh, đề thi, đáp án thi chuyên Toán vào lớp 10 chuyên Hùng Vương (Phú Thọ) năm 2023 và đáp án các môn thi vào lớp 10 trên cả nước phục vụ quý phụ huynh và học sinh.

Link xem trọn bộ Link xem trọn bộ "Nơi giấc mơ tìm về" trên VTV

“Nơi giấc mơ tìm về” phát sóng trên kênh VTV1 lúc 21h thứ 2, 3 ,4, 5, 6 hàng tuần. Bộ phim sẽ chính thức ...

Xem trọn bộ Xem trọn bộ "Thử thách cuộc đời" trên THVL1

Bộ phim truyền hình Việt Nam "Thử thách cuộc đời" xoay quanh cuộc đời đầy oan trái xen lẫn hận thù của cặp Nghĩa và ...

Xem phim Xem phim "Vây hãm: Không lối thoát" của Ma Dong Seok

"Vây hãm: Không lối thoát" - bộ phim hành động, hài hước phá án, đánh dấu sự trở lại của "quái vật" xứ Hàn Ma ...

Hoàng Vi

Tin liên quan

Cùng chuyên mục

Mức hỗ trợ học phí từ năm học 2025-2026 tại Thanh Hóa

Mức hỗ trợ học phí từ năm học 2025-2026 tại Thanh Hóa

Nghị quyết của HĐND tỉnh Thanh Hóa quy định rõ mức học phí đối với các cơ sở giáo dục mầm non, giáo dục phổ thông công lập và mức hỗ trợ học phí với học sinh các trường dân lập, tư thục trên địa bàn từ năm học 2025-2026.
Công dân số an toàn – Hành trang cho tương lai

Công dân số an toàn – Hành trang cho tương lai

Sáng ngày 18/12, Liên đội Trường Tiểu học Thị trấn Núi Đối (xã Kiến Thụy, TP Hải Phòng) đã tổ chức chuyên đề Đội cấp thành phố với chủ đề “Công dân số an toàn – Hành trang cho tương lai”, năm học 2025–2026. Đây là hoạt động có ý nghĩa thiết thực, góp phần nâng cao nhận thức, trang bị kiến thức và kỹ năng cần thiết cho học sinh tiểu học trong việc sử dụng Internet an toàn, thông minh và có trách nhiệm trong bối cảnh chuyển đổi số mạnh mẽ hiện nay.
Lâm Đồng: Trang bị “hành trang số an toàn” cho học sinh trước nguy cơ tội phạm mạng

Lâm Đồng: Trang bị “hành trang số an toàn” cho học sinh trước nguy cơ tội phạm mạng

Sáng 14/12, Sở Giáo dục và Đào tạo tỉnh Lâm Đồng phối hợp với Phòng An ninh mạng và PCTP sử dụng công nghệ cao (PA05 ) Công an tỉnh tổ chức chương trình Workshop “Hành trang số an toàn” và tổng kết Chiến dịch truyền thông “Không một mình – Cùng nhau an toàn trực tuyến” tại Trường THPT Chuyên Trần Hưng Đạo.
Công bố quyết định công nhận Hiệu trưởng đối với PGS.TS Lê Mạnh Hùng

Công bố quyết định công nhận Hiệu trưởng đối với PGS.TS Lê Mạnh Hùng

Chiều ngày 12/12/2025, Trường Đại học Công đoàn tổ chức Lễ công bố quyết định công nhận Hiệu trưởng Trường Đại học Công đoàn nhiệm kỳ 2025-2030 đối với PGS.TS Lê Mạnh Hùng.
Trường THPT Lương Đắc Bằng: 64 năm tự hào truyền thống, chắp cánh ước mơ học trò

Trường THPT Lương Đắc Bằng: 64 năm tự hào truyền thống, chắp cánh ước mơ học trò

Với những nỗ lực cố gắng, thầy và trò Trường THPT Lương Đắc Bằng đã xây dựng ngôi trường ngày càng khang trang, bề thế. Vừa qua, nhà trường vinh dự đón Bằng công nhận Trường đạt chuẩn Quốc gia Mức độ 2, nhân dịp kỷ niệm 43 năm Ngày Nhà giáo Việt Nam 20/11/1982-20/11/2025.

Tin khác

Trường THPT chuyên Quang Trung “ngọn cờ đầu” của ngành giáo dục tỉnh Đồng Nai

Trường THPT chuyên Quang Trung “ngọn cờ đầu” của ngành giáo dục tỉnh Đồng Nai
Sáng 20/11, Trường THPT chuyên Quang Trung (phường Đồng Xoài, tỉnh Đồng Nai) tổ chức trọng thể Lễ kỷ niệm 43 năm ngày Nhà giáo Việt Nam (20/11/1982 – 20/11/2025). Tham dự buổi lễ có Ủy viên dự khuyết Trung ương Đảng, Phó Bí thư Thường trực Tỉnh ủy, Chủ tịch HĐND tỉnh Đồng Nai Tôn Ngọc Hạnh; lãnh đạo các sở, ngành; đại diện chính quyền địa phương, doanh nghiệp và phụ huynh học sinh.

Bộ trưởng Nguyễn Kim Sơn: Sẽ xem xét kỹ lưỡng về mô hình đại học vùng

Bộ trưởng Nguyễn Kim Sơn:  Sẽ xem xét kỹ lưỡng về mô hình đại học vùng
Giải trình trước Quốc hội và cử tri cả nước về mô hình đại học vùng trong dự án Luật Giáo dục đại học (sửa đổi), Bộ trưởng Bộ Giáo dục và Đào tạo Nguyễn Kim Sơn cho biết, sẽ tiếp tục nghiên cứu, xem xét kỹ lưỡng đối với nội dung này.

Chủ tịch nước Lương Cường dự Lễ kỷ niệm Ngày Nhà giáo Việt Nam và Đại hội Thi đua yêu nước ngành giáo dục

Chủ tịch nước Lương Cường dự Lễ kỷ niệm Ngày Nhà giáo Việt Nam và Đại hội Thi đua yêu nước ngành giáo dục
Sáng 17/11, tại Trường Đại học Sư phạm Hà Nội, Bộ Giáo dục và Đào tạo đã tổ chức Lễ kỷ niệm ngày Nhà giáo Việt Nam (20/11) và Đại hội Thi đua yêu nước ngành Giáo dục lần thứ VIII giai đoạn 2020-2025. Chủ tịch nước Lương Cường tới dự và phát biểu tại buổi lễ.

Trường THPT Kiến Thụy: Tự hào mái trường bên dòng Đa Độ

Trường THPT Kiến Thụy: Tự hào mái trường bên dòng Đa Độ
Sáng ngày 9/11/2025, Trường THPT Kiến Thụy (TP Hải Phòng) đã long trọng tổ chức lễ kỷ niệm 60 năm thành lập, đánh dấu một chặng đường lịch sử đầy vẻ vang, tự hào của ngôi trường nơi mảnh đất hiếu học Kiến Thụy. Buổi lễ có sự tham dự của Phó Chủ tịch UBND TP Hải Phòng Nguyễn Minh Hùng, cùng nhiều lãnh đạo các sở, ngành, trường học, cựu giáo viên, học sinh của nhà trường.

Nơi các nhà giáo cao tuổi tiếp nối hành trình gieo chữ cho trẻ em nghèo

Nơi các nhà giáo cao tuổi tiếp nối hành trình gieo chữ cho trẻ em nghèo
Giữa nhịp sống hiện đại, nhộn nhịp và hối hả, vẫn có một ngôi trường lặng lẽ nuôi dưỡng về thể chất và tri thức cho hàng ngàn mảnh đời nhỏ bé có hoàn cảnh khó khăn. Đó là Trường Tiểu học, Trung học cơ sở (THCS) và Trung học phổ thông (THPT) Bồ Đề Phương Duy, tọa lạc trong khuôn viên chùa Long Thạnh, xã Thủ Thừa, tỉnh Tây Ninh...

STEM Innovation Petrovietnam: Thắp sáng “nguồn năng lượng tri thức”!

STEM Innovation Petrovietnam: Thắp sáng “nguồn năng lượng tri thức”!
Từ ý tưởng của Tổng Bí thư Tô Lâm, Chương trình “STEM Innovation Petrovietnam” được khởi động ngày 21/9/2025 đang được Tập đoàn Công nghiệp - Năng lượng Quốc gia Việt Nam (Petrovietnam) triển khai với mục tiêu xây dựng 100 phòng STEM đạt chuẩn quốc tại 34 tỉnh, thành trên cả nước.

Trường Cao đẳng Kiến trúc – Xây dựng TP. Hồ Chí Minh: Vững bước, đột phá và phát triển

Trường Cao đẳng Kiến trúc – Xây dựng TP. Hồ Chí Minh: Vững bước, đột phá và phát triển
Hướng tới kỷ niệm 80 năm truyền thống Ngành Giáo dục và Đào tạo Việt Nam, sáng 27/10, Trường Cao đẳng Kiến trúc – Xây dựng TP. Hồ Chí Minh tổ chức Lễ Khai giảng năm học 2025–2026. Buổi lễ mở ra chặng đường học tập và rèn luyện mới và tinh thần đoàn kết, ý chí đổi mới và quyết tâm của toàn thể cán bộ, giảng viên, sinh viên trong việc giữ vững kỷ cương, phát huy sáng tạo, không ngừng đột phá vì sự phát triển bền vững của giáo dục nghề nghiệp.

Trường ĐH Hàng hải Việt Nam đón nhận Huân chương Lao động hạng Nhất

Trường ĐH Hàng hải Việt Nam đón nhận Huân chương Lao động hạng Nhất
Với những đóng góp to lớn, bền bỉ trong sự nghiệp giáo dục, Trường Đại học Hàng hải Việt Nam đã vinh dự được đón nhận Huân chương Lao động hạng Nhất - phần thưởng cao quý của Đảng và Nhà nước.

Trường THPT Lang Chánh, tỉnh Thanh Hóa: Chú trọng nâng cao chất lượng giáo dục toàn diện

Trường THPT Lang Chánh, tỉnh Thanh Hóa: Chú trọng nâng cao chất lượng giáo dục toàn diện
Nằm ở phía Tây xứ Thanh, những năm qua, Trường THPT Lang Chánh đã triển khai nhiều giải pháp nhằm nâng cao chất lượng giáo dục đại trà. Từ đó tăng nhanh vượt bậc về chất lượng dạy và học, chất lượng giáo dục mũi nhọn luôn duy trì ổn định. Thầy và trò Trường THPT Lang Chánh đã có nhiều cố gắng trong công tác giảng dạy và học tập để từng bước khẳng định được vị thế của nhà trường...

Giáo dục con cái cần sự kiên nhẫn và gương mẫu của cha mẹ

Giáo dục con cái cần sự kiên nhẫn và gương mẫu của cha mẹ
Ở tuổi gần 80, mái tóc đã bạc trắng nhưng giọng nói vẫn trầm ấm, thầy giáo Nguyễn Hữu Dư, nguyên Phó Hiệu trưởng Trường Tiểu học Ngô Xá, Chủ tịch Hội Cựu giáo chức xã Ngô Xá (nay là xã Tiên Lương, tỉnh Phú Thọ) vẫn toát lên sự điềm đạm, mẫu mực của một người thầy. Không chỉ cống hiến cả đời cho sự nghiệp trồng người, trong gia đình, thầy còn là một người cha gương mẫu, dành nhiều tâm huyết để nuôi dạy con cái trưởng thành, sống nhân ái và có trách nhiệm. Trong buổi trò chuyện thân tình, thầy Nguyễn Hữu Dư chia sẻ nhiều câu chuyện giản dị mà sâu sắc về quan niệm nuôi dạy các con trong gia đình...

Đẩy mạnh chất lượng giảng dạy văn hóa và đào tạo nghề cho học sinh

Đẩy mạnh chất lượng giảng dạy văn hóa và đào tạo nghề cho học sinh
Những năm qua, Trung tâm Giáo dục nghề nghiệp - Giáo dục thường xuyên (GDNN-GDTX) Nghi Sơn, tỉnh Thanh Hóa đã tập trung đẩy mạnh nâng cao chất lượng dạy văn hóa kết hợp đào tạo nghề nhằm đáp ứng nhu cầu học tập của học sinh. Kỳ thi tốt nghiệp THPT năm 2025 trung tâm có tỉ lệ học sinh thi đậu tôt nghiệp đạt 99,5%; đạt trong top 10 các đơn vị GDTX toàn tỉnh (10/36 đơn vị). Kỳ thi học sinh giỏi năm học 2024-2025 trung tâm có 9 giải đạt kết quả.

Petrovietnam trao học bổng cho 100 sinh viên nghèo "thắp sáng ước mơ"

Petrovietnam trao học bổng cho 100 sinh viên nghèo "thắp sáng ước mơ"
Quỹ học bổng Thắp Sáng Niềm Tin (TSNT) được bảo trợ bởi Tập đoàn Công nghiệp - Năng lượng Quốc gia Việt Nam (Petrovietnam), do PVcomBank, PVOIL và PTSC tài trợ chính vừa tổ chức Lễ trao học bổng cho 100 sinh viên nghèo hiếu học đạt thành tích xuất sắc, đến từ các trường đại học khu vực phía Bắc.

Thư viện số – Thư viện ước mơ: Mô hình chuyển đổi số tiên phong trong giáo dục mầm non

Thư viện số – Thư viện ước mơ: Mô hình chuyển đổi số tiên phong trong giáo dục mầm non
Sáng ngày 10/10, Trường Mầm non Tân Phong, phường Tân Hưng, TP. Hồ Chí Minh khánh thành công trình “Thư viện số – Thư viện ước mơ”, đánh dấu bước ngoặt mới trong hành trình đưa công nghệ số vào giáo dục mầm non.

Trường Tiểu học Kiền Bái: “Vui hội trăng rằm” rộn ràng sắc màu tuổi thơ

Trường Tiểu học Kiền Bái: “Vui hội trăng rằm” rộn ràng sắc màu tuổi thơ
Hòa chung không khí rộn ràng của thiếu nhi cả nước trong dịp Tết Trung thu, chiều 3/10/2025 (tức ngày 12/8 âm lịch), Liên đội Trường Tiểu học Kiền Bái (phường Thiên Hương, TP. Hải Phòng) đã tổ chức chuyên đề “Vui hội trăng rằm” cho toàn thể học sinh.

Nhớ thầy Nguyễn Ngọc Ký

Nhớ thầy Nguyễn Ngọc Ký
Nhà giáo ưu tú Nguyễn Ngọc Ký, sinh 28/6/1947, ở huyện Hải Hậu, tỉnh Nam Định (cũ); dù bị liệt cả 2 tay do bạo bệnh năm 4 tuổi nhưng thầy vẫn mơ ước và được cắp sách đến trường như bạn bè cùng trang lứa.
Xem thêm
Câu lạc bộ Trái tim Người lính Phương Nam: Ra mắt Ban Pháp luật – Chính sách – Người có công

Câu lạc bộ Trái tim Người lính Phương Nam: Ra mắt Ban Pháp luật – Chính sách – Người có công

Hướng tới kỷ niệm 81 năm Ngày thành lập Quân đội nhân dân Việt Nam (22/12/1944-22/12/2025), Câu lạc bộ Trái tim Người lính Phương Nam (CLBTTNLPN) vừa ra mắt Ban Pháp luật – Chính sách – Người có công, góp phần lan tỏa đạo lý truyền thống “uống nước nhớ nguồn” của dân tộc Việt Nam.
Khởi công dự án thành phần 1 đoạn qua tỉnh Phú Thọ  thuộc dự án đường sắt Lào Cai - Hà Nội - Hải Phòng

Khởi công dự án thành phần 1 đoạn qua tỉnh Phú Thọ thuộc dự án đường sắt Lào Cai - Hà Nội - Hải Phòng

Ngày (19/12), tại Phú Thọ tổ chức lễ khởi công dự án thành phần 1 thuộc dự án đường sắt Lào Cai - Hà Nội - Hải Phòng đoạn qua tỉnh Phú Thọ.
Khởi công Nhà ở xã hội Tiên Dương 1: Thêm điểm tựa an sinh cho người lao động Thủ đô

Khởi công Nhà ở xã hội Tiên Dương 1: Thêm điểm tựa an sinh cho người lao động Thủ đô

Trong không khí cả nước thi đua khởi công, khánh thành và thông xe kỹ thuật các công trình chào mừng Đại hội đại biểu toàn quốc lần thứ XIV của Đảng, ngày 19/12, Hà Nội chính thức khởi công Khu nhà ở xã hội Tiên Dương 1 - dự án có quy mô lớn, mô hình tập trung đầu tiên của Thủ đô. Không chỉ góp phần giải “cơn khát” nhà ở cho người thu nhập thấp, dự án còn thể hiện rõ quyết tâm của Thành phố trong thực hiện chủ trương an sinh xã hội, phát triển đô thị bền vững và nhân văn.
Ký sự về nguồn ở Kroong – giữa đại ngàn, lịch sử thấm vào trách nhiệm

Ký sự về nguồn ở Kroong – giữa đại ngàn, lịch sử thấm vào trách nhiệm

Có những nơi vừa đặt chân đến, người ta tự nhiên bước chậm lại và nói khẽ hơn. Kroong – xã căn cứ cách mạng của tỉnh Gia Lai – là một nơi như thế. Giữa đại ngàn trầm mặc, rừng già lặng gió, mỗi bước chân như chạm vào miền ký ức, nơi lịch sử không chỉ nằm trong trang sách hay hiện vật, mà còn hiện diện trong chính không gian từng che chở con người qua những năm tháng chiến tranh khốc liệt.
Những “bà ngoại” thời hiện đại

Những “bà ngoại” thời hiện đại

Hiện nay, tại các khu đô thị lớn như Hà Nội, TP Hồ Chí Minh, Hải Phòng,… không khó để thấy những phụ nữ cao tuổi với chiếc túi đồ nghề nhỏ xinh: Khăn sợi tre, tinh dầu tràm, lọ cồn y tế, nhiệt kế nước và vài món phụ kiện chăm trẻ. Họ là những người làm nghề tắm bé sơ sinh tại nhà - một nghề mới mẻ nhưng rất phổ biến tại các khu đô thị lớn…
Hệ lụy xã hội từ các chiêu trò kinh doanh đa cấp trá hình

Hệ lụy xã hội từ các chiêu trò kinh doanh đa cấp trá hình

những mô hình kinh doanh đa cấp biến tướng, trá hình đã từng tồn tại, núp dưới những vỏ bọc “hợp tác đầu tư”, “khóa học làm giàu” gây ra hệ lụy nghiêm trọng
Phiên bản di động